Migración interna
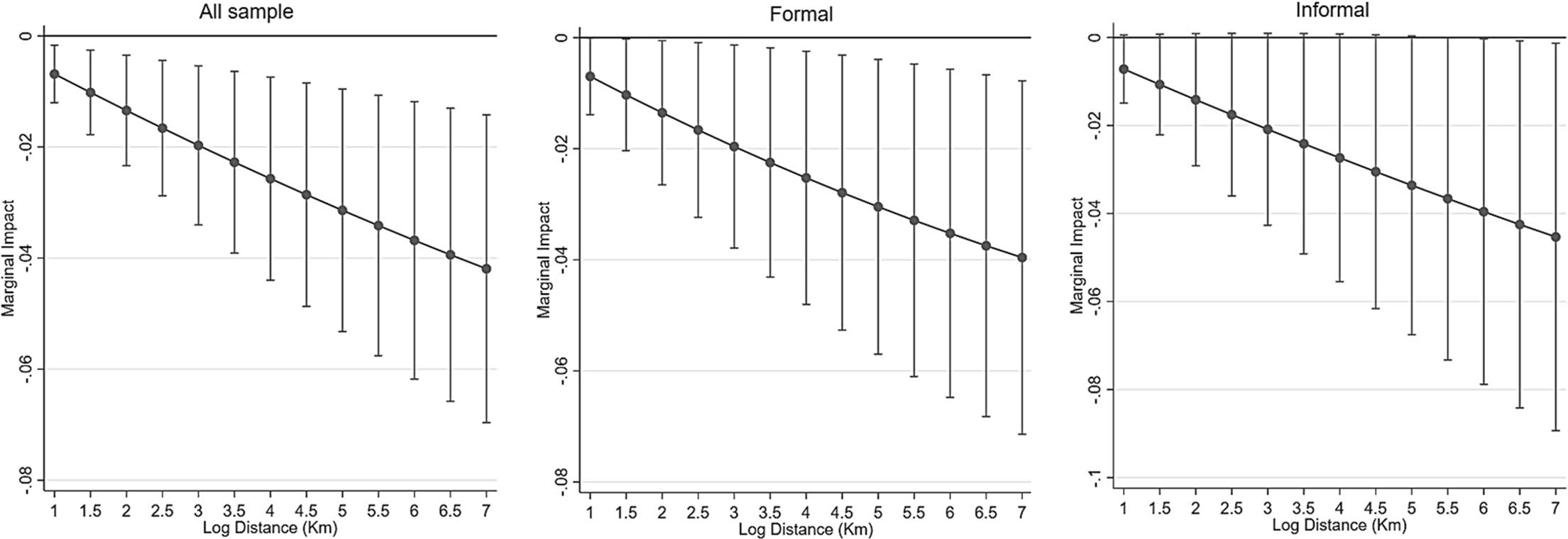
Recientemente, la migración y la distancia migrada afectan significativamente el estado de ánimo y la satisfacción de las personas, y esta idea ha sido incorporada recientemente en la literatura. El objetivo de esta investigación es analizar la relación entre distancia migrada y satisfacción laboral en Ecuador distinguiendo entre trabajadores formales e informales. Utilizamos datos de corte transversal repetido de la Encuesta Nacional de Empleo, Desempleo y Subempleo del periodo 2014-2017, y modelos probit ordenados con parámetros aleatorios para cumplir con nuestro objetivo. Nuestros resultados sugieren que existe una relación negativa y heterogénea entre la distancia sobre la migración y la satisfacción laboral.

Además, encontramos que los trabajadores formales deben ser compensados a $ 0,51 USD y los trabajadores informales deben ser compensados a $ 0,59 USD por kilómetro migrado para mitigar el impacto negativo de la migración. Estos resultados tienen importantes implicaciones políticas, por ejemplo, la necesidad de promover políticas laborales que fomenten el bienestar laboral y compensen los efectos negativos de la migración de larga distancia.

Enlace a lectura completa del artículo:
https://doi.org/10.1007/s11482-024-10309-w
Perfil del autor

Nombre del autor: Cristian Ortiz
Afiliación institucional: Carrera de Economía y Centro de Investigaciones Sociales y Económicas, Universidad Nacional de Loja, Loja, Ecuador.
Enlaces de las redes sociales profesionales.
https://www.facebook.com/crisortizv/
@crisortizv
@Crispv182
Perfil profesional
Cristian es Magíster en Economía Aplicada con Mención en estudios regionales por la Universidad Católica del Norte-Chile y Economista por la Universidad Nacional de Loja. Editor Responsable Revista Económica, Revista indexada de investigación en ciencias económicas, empresariales y sociales.
En la actualidad es docente investigador en la Carrera de Economía de la Universidad Nacional de Loja (UNL), investigador principal en el Centro de Investigaciones Sociales y Económicos (de la UNL) y profesor invitado de la Universidad Espíritu Santo (UEES) de Guayaquil. Es autor y coautor de 17 artículos científicos indexados en Scopus y Web of Science. Su experiencia en la docencia hasta el momento es la siguiente: Docente en la UNL en asignaturas como Cálculo Diferencial, Estadística Analítica, Estadística Aplicada, Ecuaciones Diferenciales, Econometría Básica, Proyecto de Trabajo de Titulación, Economía Regional y Urbana. Ex docente de la materia de microeconomía en la Universidad Católica del Norte-Chile durante dos semestres. Además, ha dictado cursos a nivel de posgrado en la Universidad Espíritu Santo en la asignatura de Análisis Cuantitativo para la Gestión Empresarial dictado en las Maestrías en Management Estratégico, Marketing Digital e Inteligencia de Negocios y Ciencia de Datos. También ha dictado las asignaturas de Proyecto Integrador en los programas de Marketing Digital, Gestión de la Calidad, Gestión Financiera y Riesgos y, Relaciones con los clientes. En la UNL ha dictado el curso de Desarrollo Económica en la Maestría de Políticas públicas. Además, ha formado parte y ha dirigido varios proyectos de investigación financiados por la UNL y la UEES.
En 2023 obtuvo el segundo lugar, categoría Senior del premio “Joven Investigador-Epainos” en el VII Encuentro Internacional de Economía y V de Ciencia Regional. Congreso icónico a nivel nacional e internacional en la rama de Economía. En junio de 2024 ganó el premio de Investigador destacado del año otorgado por la Red Ecuatoriana de Ciencia Regional (RECIR) durante el VI Encuentro Internacional de Ciencia Regional. Sus áreas de investigación de interés son: (i) Economía del Bienestar (ii) Economía de la salud (iii) Empresas y Economías de aglomeración y (iv) Análisis espacial. (v) Inteligencia de negocios y ciencia de datos.



